What Is Indeterminate Form In Limits

Finding Limits at Infinity Indeterminate Forms YouTube

What Is Indeterminate Form In Limits. Web l’hôpital’s rule is very useful for evaluating limits involving the indeterminate forms \(\dfrac{0}{0}\) and \(∞/∞\). In this article, we are going to discuss what is the.

Finding Limits at Infinity Indeterminate Forms YouTube
Finding Limits at Infinity Indeterminate Forms YouTube

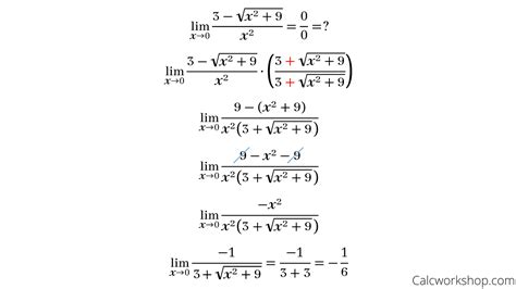
In total there is seven indeterminate forms, here they are: In calculus and other branches of mathematical analysis, when the limit of the sum, difference, product, quotient or power of two functions is taken, it may often be possible to simply add, subtract,. Web we call an indeterminate form, when computing limits the case when we get an expression that we cannot determine the limit. In this article, we are going to discuss what is the. Web an indeterminate form is an expression involving two functions whose limit cannot be determined solely from the limits of the individual functions. Web the indeterminate form is a mathematical expression that means that we cannot be able to determine the original value even after the substitution of the limits. These forms are common in calculus; Web l’hôpital’s rule is very useful for evaluating limits involving the indeterminate forms \(\dfrac{0}{0}\) and \(∞/∞\). However, we can also use l’hôpital’s rule to help evaluate limits.

In this article, we are going to discuss what is the. Web an indeterminate form is an expression involving two functions whose limit cannot be determined solely from the limits of the individual functions. In total there is seven indeterminate forms, here they are: In this article, we are going to discuss what is the. Web we call an indeterminate form, when computing limits the case when we get an expression that we cannot determine the limit. In calculus and other branches of mathematical analysis, when the limit of the sum, difference, product, quotient or power of two functions is taken, it may often be possible to simply add, subtract,. These forms are common in calculus; However, we can also use l’hôpital’s rule to help evaluate limits. Web the indeterminate form is a mathematical expression that means that we cannot be able to determine the original value even after the substitution of the limits. Web l’hôpital’s rule is very useful for evaluating limits involving the indeterminate forms \(\dfrac{0}{0}\) and \(∞/∞\).